admb_real:vpa_estimates
VPA estimates
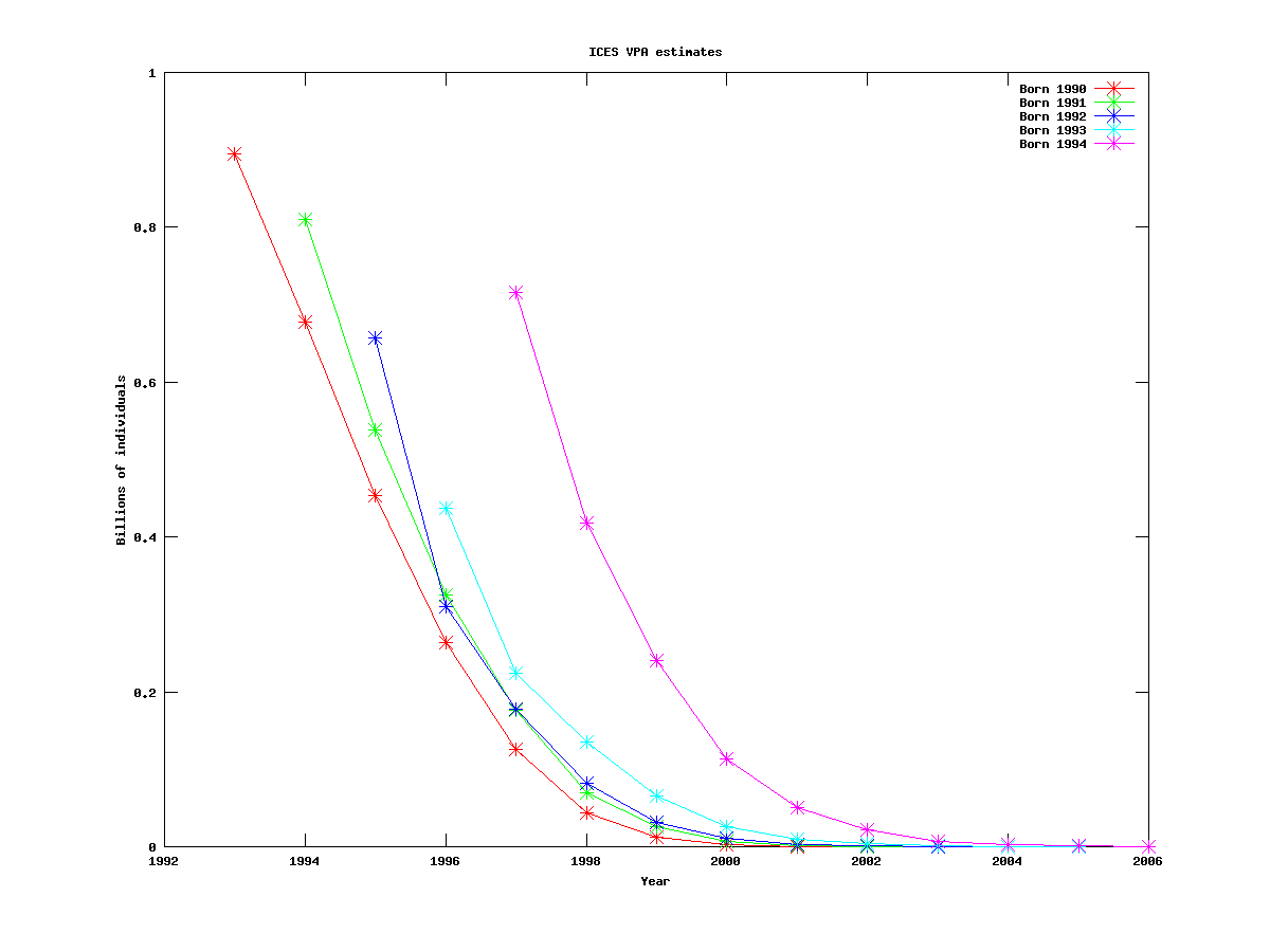
One goal of using ADMB is to give estimates which are an alternative to the Virtual Population Analysis (VPA) estimates given by the ICES working group on arctic fisheries. These estimates can be found in Table 3.22 here (PDF, 11MB). They are given from age group 3, and without confidence intervals.
A few plots of these estimates are given below:
admb_real/vpa_estimates.txt · Last modified: 2010/09/14 14:51 by lennartfr


