admb_real:n3_re_catch:various_experiments:half_s_from_experiments
Table of Contents
Catch subject to random effects, half of s from experiments
DETTE ER EN KLADD!!
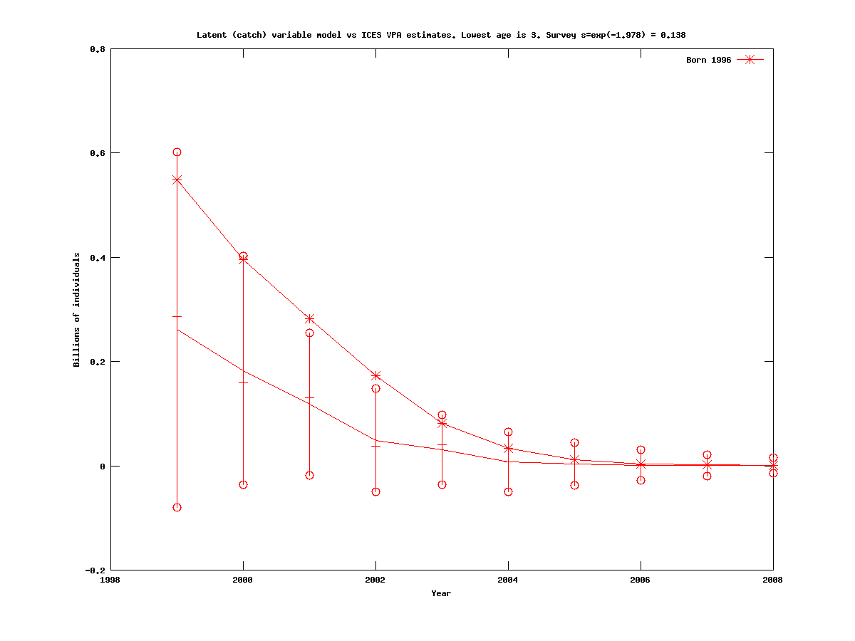
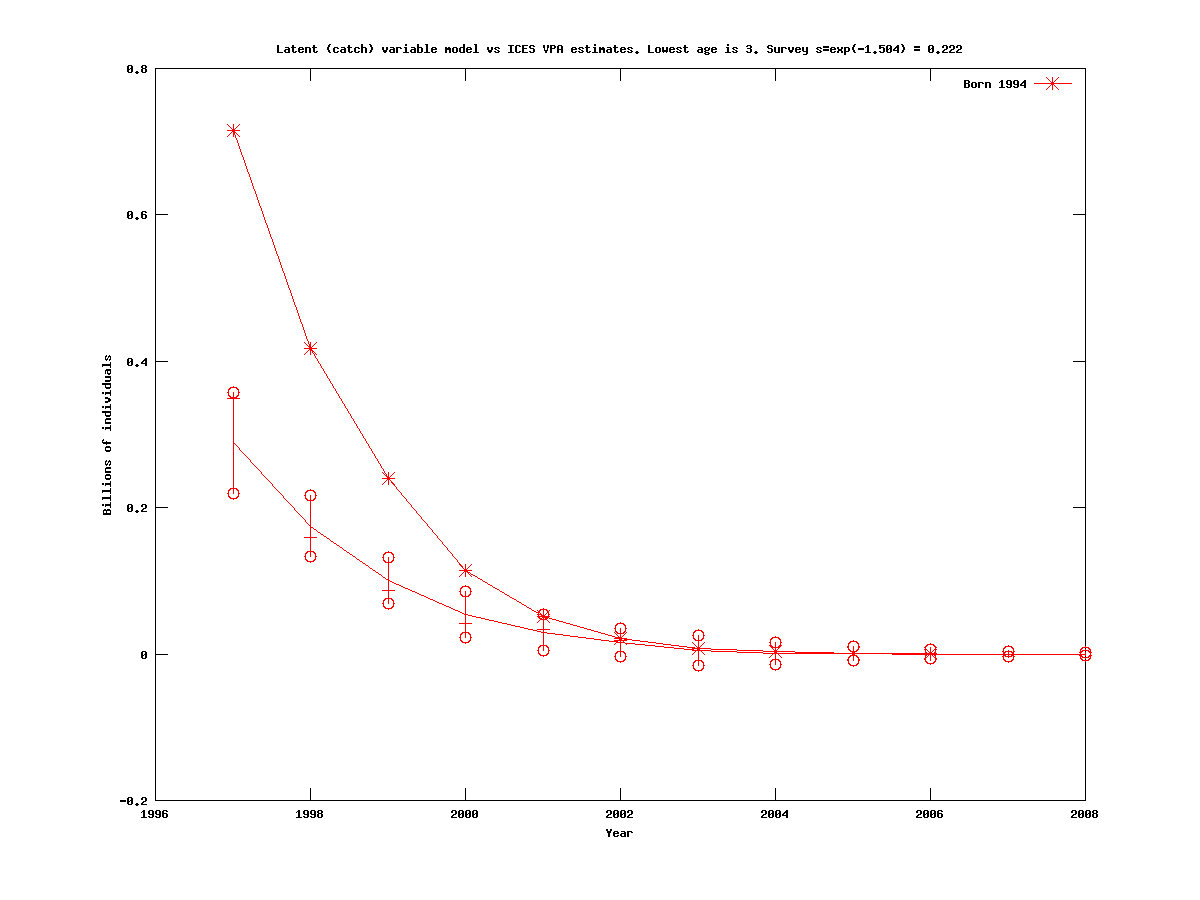
First cohort born 1994
| Num. cohorts | Trajectories | Estimates |
|---|---|---|
| 1 | |
|
| 2 | Failure! |
|
| 3 | Failure! |
|
| 4 | Failure! |
|
First cohort born 1995
| Num. cohorts | Trajectories | Estimates |
|---|---|---|
| 1 | |
|
| 2 | Failure! |
|
| 3 | Failure! |
|
| 4 | Failure! |
|
First cohort born 1996
| Num. cohorts | Trajectories | Estimates |
|---|---|---|
| 1 | |
|
| 2 | |
|
| 3 | Failure! |
|
| 4 | |
|
First cohort born 1997
| Num. cohorts | Trajectories | Estimates |
|---|---|---|
| 1 | |
|
| 2 | Failure! |
|
| 3 | |
|
| 4 | Failure! |
|
admb_real/n3_re_catch/various_experiments/half_s_from_experiments.txt · Last modified: 2010/09/28 14:11 by lennartfr






