User Tools

Site Tools


admb_real:n3_re_catch:catch_sigma_levels:catch_sigma_levels

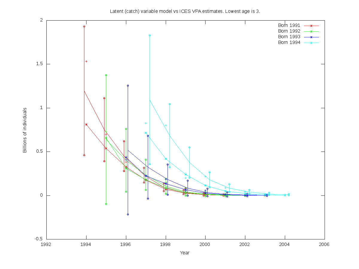
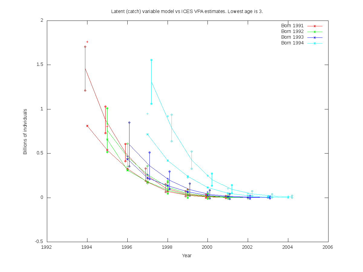
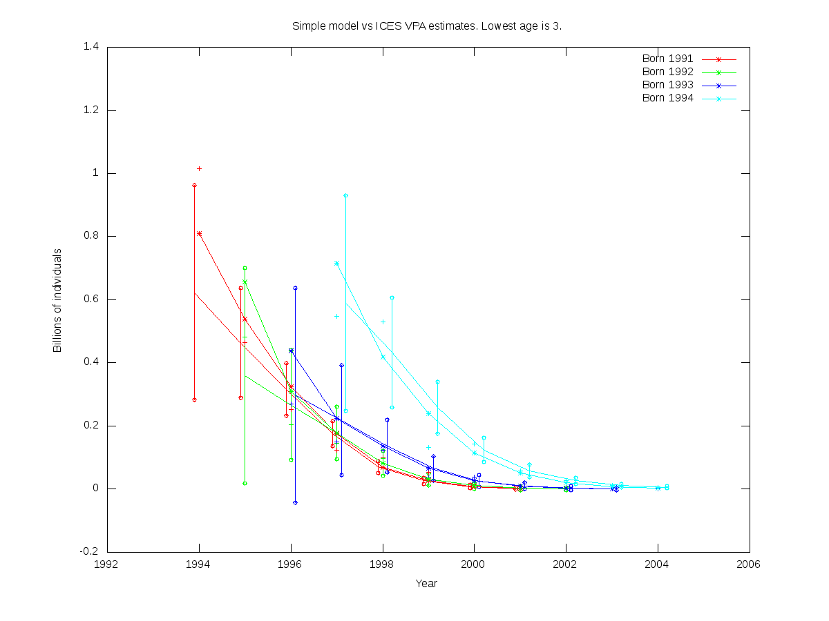
Testing different levels of sigma for catch --- no variables locked

In this section we perform an experiment similar to the testing of misfit as a function of catch standard deviation. The main difference is that in this experiment all variables are free. We will use the same data set, namely this one.

Summary

As the catch sigma, sc, grows, the following trend is fairly evident:

  • M grows, ultimately reaching its upper bound of 0.5 for sc = 0.2.
  • q becomes smaller
  • N0 becomes larger
  • The discrepancy between these estimates and the VPA estimates becomes larger

Experiments

No latent variables

:!: This experiment is included for convenience.

Num. cohorts Trajectories Estimates
Non-RE parfile:
cod.par
../simple_model_sdreport/cod.par is the user-defined function defined from: ../simple_model_sdreport/cod.par
 
# Number of parameters = 7  Objective function value = -18.7801  Maximum gradient component = 0.000328611
# N0:
 0.622791 0.359443 0.298084 0.589102
# q:
 0.344332
# logs:
-1.08687795940
# M:
0.286208904677

sc = 0.05

Num. cohorts Trajectories Estimates
4
cod.par
# Number of parameters = 7  Objective function value = -42.6068  Maximum gradient component = 2.91970e-05
# N0:
 0.954542 0.525020 0.430878 0.882205
# q:
 0.265073
# logs:
-1.03834928714
# M:
0.404604934881
# logscc:
-2.99570000000
# ce:
 0.00247779228022 0.0229479340199 0.0505688023129 0.0348894489419 0.0918032224103 0.212086776154 0.191245255713 0.00335207864357 0.0208592944745 0.0594545624313 0.101789222254 0.0853961577455 0.179938079275 0.00514895739156 0.00328054977142 0.00437998603931 0.00576553600065 -0.0769757385253 0.0294089236518 -0.0305535704978 -0.0140065689668 4.29956956392e-05 0.0109425978175 -0.0559566234943 -0.0224908139433 -0.0140483408608 -0.00256440139985 -0.00370045247271 

sc = 0.10

Num. cohorts Trajectories Estimates
4
cod.par
# Number of parameters = 7  Objective function value = -41.3791  Maximum gradient component = 3.12158e-05
# N0:
 1.19545 0.639165 0.518724 1.09328
# q:
 0.228269
# logs:
-1.01217107551
# M:
0.458196640288
# logscc:
-2.30260000000
# ce:
 0.00299214635483 0.0278701196646 0.0618741327868 0.0383751969798 0.151822644707 0.365608394606 0.315531984532 0.00354899496011 0.0189950405372 0.0553077224029 0.153107532812 0.151731450319 0.326735539914 0.0241126794416 0.00287476031833 -0.00857989801320 -0.0134792904902 -0.137915370233 0.0555630741024 -0.0346120370533 -0.0130079769725 8.47659405510e-06 0.0155516659659 -0.0919629932316 -0.0385161866978 -0.0235292761542 -0.00422480068144 -0.00717389958011 

sc = 0.15

Num. cohorts Trajectories Estimates
4
cod.par
# Number of parameters = 7  Objective function value = -40.6063  Maximum gradient component = 1.19145e-05
# N0:
 1.39098 0.729901 0.584592 1.26028
# q:
 0.205649
# logs:
-0.998781332763
# M:
0.490865532859
# logscc:
-1.89710000000
# ce:
 0.00317048912124 0.0291209453032 0.0634454016256 0.0313686081751 0.195132842454 0.493828424086 0.418259928564 0.00349535088274 0.0153966976922 0.0458988145034 0.194963732184 0.210402923647 0.459597257978 0.0424825792486 0.00219905797630 -0.0212146471716 -0.0299847853587 -0.182269221474 0.0844923100721 -0.0290441396331 -0.00763730108872 -0.000151418302052 0.0175157014252 -0.121951064410 -0.0528439366573 -0.0320061721550 -0.00613491712179 -0.0104048634647 

sc = 0.20

:!: M reaches its upper bound, so the confidence intervals are not meaningful in this case.

Num. cohorts Trajectories Estimates
4
cod.par
# Number of parameters = 7  Objective function value = -40.0734  Maximum gradient component = 8.87886e-05
# N0:
 1.45886 0.761022 0.600593 1.30925
# q:
 0.198675
# logs:
-1.00077721043
# M:
0.500000000000
# logscc:
-1.60940000000
# ce:
 0.00363596210240 0.0328946839321 0.0690333423964 0.0219343626062 0.238833510443 0.647454025196 0.555654527656 0.00354347952971 0.0110982161633 0.0278238159678 0.226249885147 0.258422309992 0.605012616754 0.0523466267305 0.00165991134421 -0.0343769623289 -0.0465724924036 -0.231641419023 0.115770675459 -0.0281268857527 -0.00436850366929 6.94740923935e-05 0.0264814039215 -0.146575395945 -0.0591572604359 -0.0334358023913 -0.00183361619039 -0.0119811817291 
admb_real/n3_re_catch/catch_sigma_levels/catch_sigma_levels.txt · Last modified: 2010/11/03 17:33 by lennartfr