admb_real:n3_cohorts_per_run_monotonic
Table of Contents
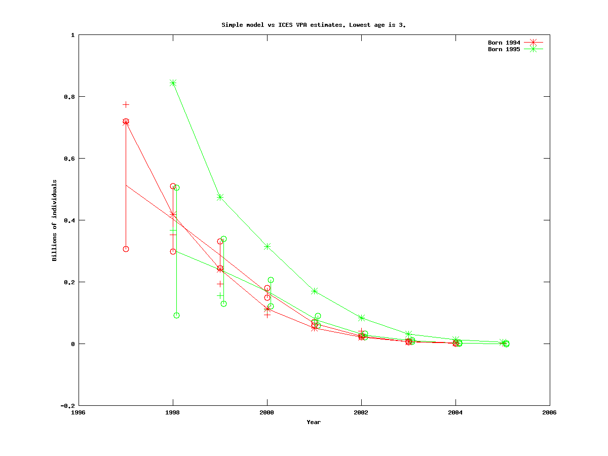
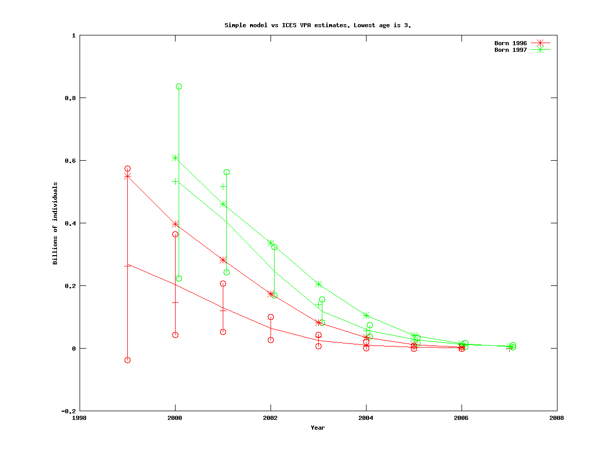
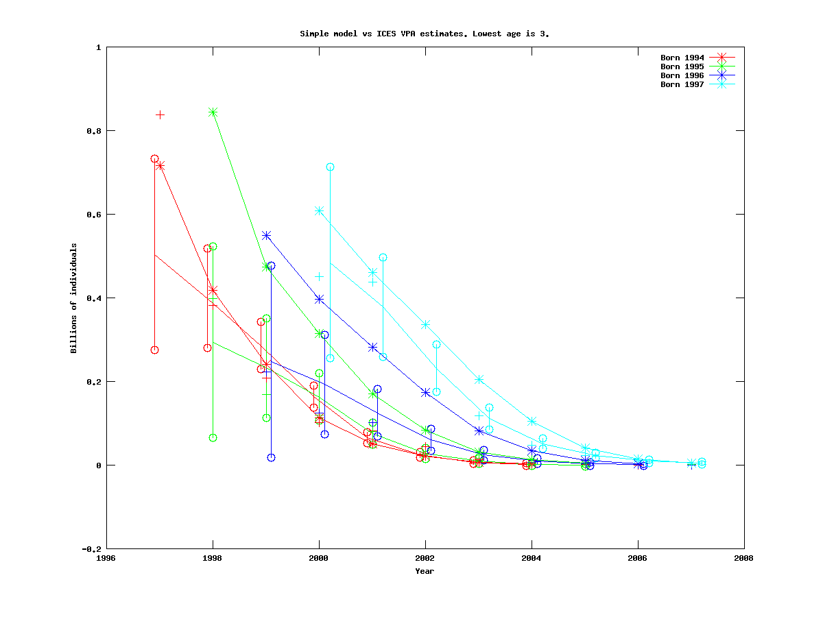
Model estimating 3 year olds and older --- monotonic survey data
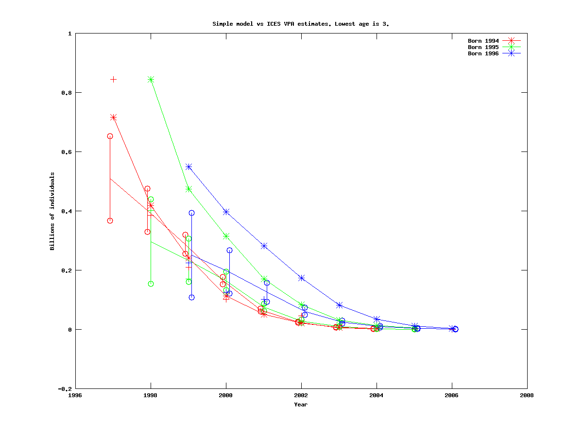
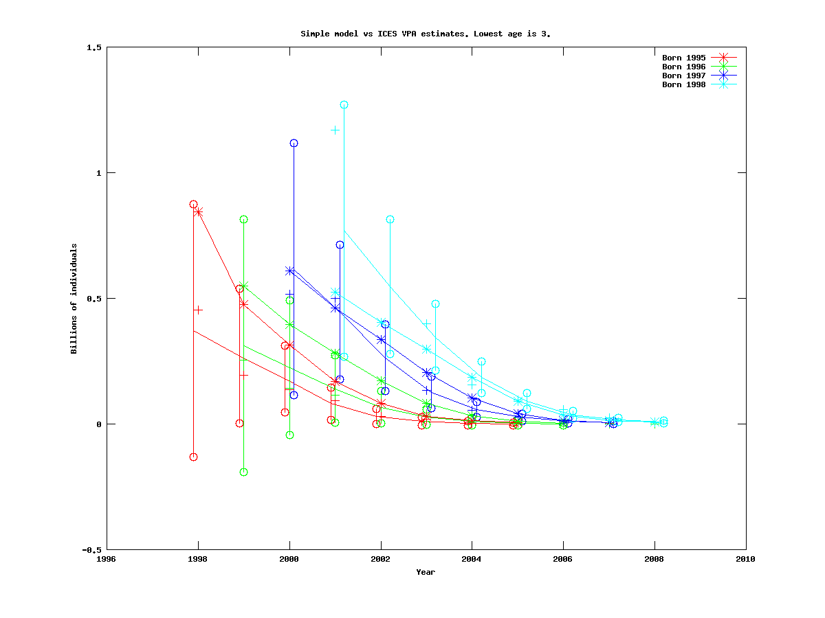
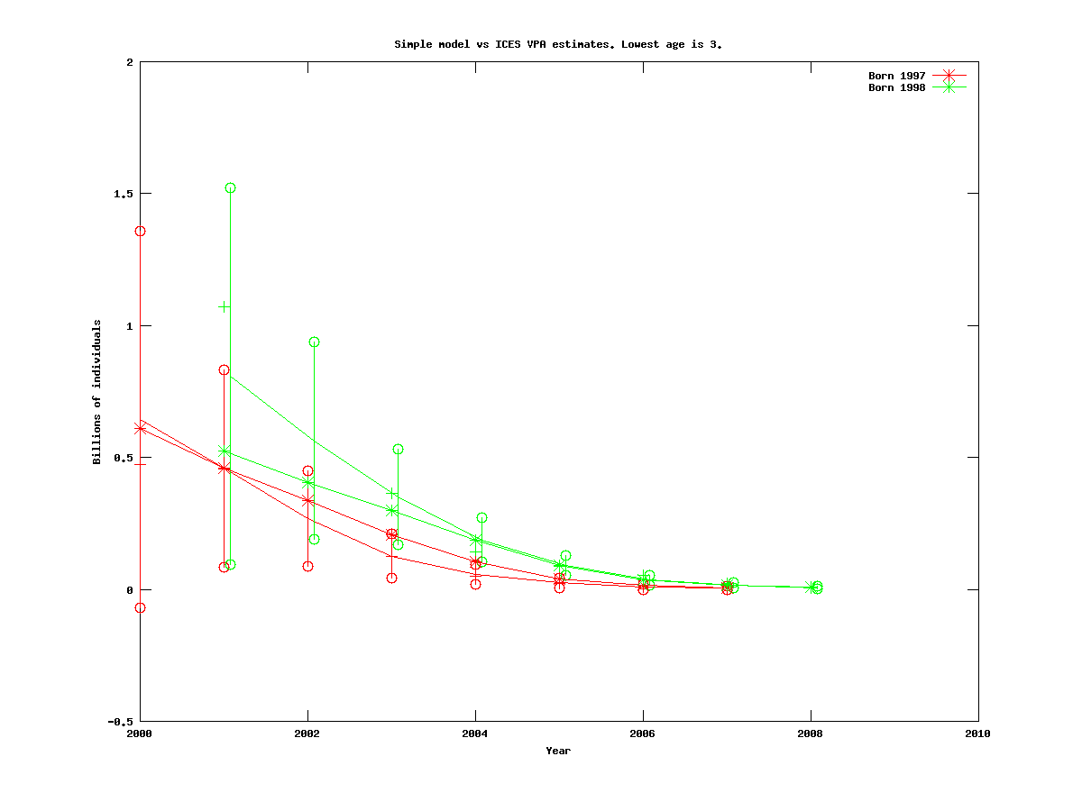
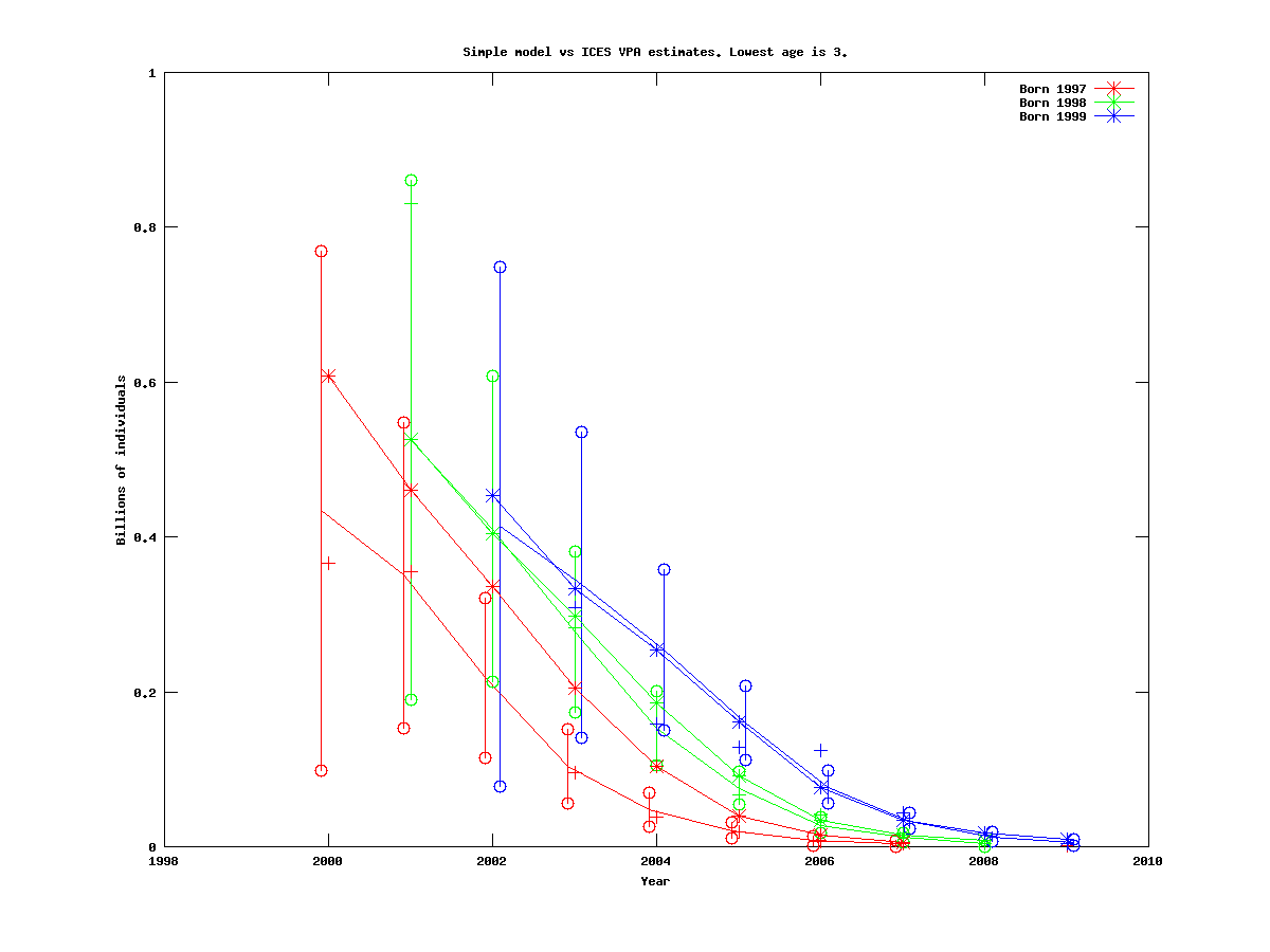
The plots in this section contain the following errors:
- The labels on the x-axis and the legend are three years older than they should be. (E.g. if it says 1997 it should be 1994.)
- The VPA plots (solid lines with stars) are of the wrong cohorts and should be disregarded.
In this section we repeat the experiments of the model estimating only 3 year olds and older, with the difference being that the survey indices which are smaller in magnitude than subsequent indices for the same cohort are deleted.
This experiment is similar to this experiment for the model with two catchabilities.
Summary
The estimates for this experiments are much more consistent than for the experiments with nonmonotone survey data. However, they are also usually lower, as can be seen by comparing the following table with the corresponding table here.
| N3birthyear | N31994 | N31995 | N31996 | N31997 | N31998 | N31999 | N32000 |
|---|---|---|---|---|---|---|---|
| Single estimate | 0.516109 | 0.289033 | 0.243818 | 0.443256 | |||
| Multiple estimates | 0.513446 | 0.298678 | |||||
| 0.509808 | 0.297279 | 0.250449 | |||||
| 0.504020 | 0.294245 | 0.247969 | 0.484308 | ||||
| 0.286587 | 0.241295 | ||||||
| 0.293470 | 0.247051 | 0.483911 | |||||
| 0.371853 | 0.311810 | 0.615438 | 0.769912 | ||||
| 0.268437 | 0.529506 | ||||||
| 0.401105 | 0.812412 | 1.04852 | |||||
| 0.281835 | 0.552476 | 0.683516 | 0.566695 | ||||
| 0.645252 | 0.809032 | ||||||
| 0.433931 | 0.524806 | 0.413599 | |||||
| 0.406884 | 0.489518 | 0.380431 | 0.442819 |
First cohort born 1994
| Num. cohorts | Trajectories | Estimates |
|---|---|---|
| 1 | |
|
| 2 | |
|
| 3 | |
|
| 4 | |
|
First cohort born 1995
| Num. cohorts | Trajectories | Estimates |
|---|---|---|
| 1 | |
|
| 2 | |
|
| 3 | |
|
| 4 | |
|
First cohort born 1996
| Num. cohorts | Trajectories | Estimates |
|---|---|---|
| 1 | |
|
| 2 | |
|
| 3 | |
|
| 4 | |
|
First cohort born 1997
| Num. cohorts | Trajectories | Estimates |
|---|---|---|
| 1 | |
|
| 2 | |
|
| 3 | |
|
| 4 | |
|
admb_real/n3_cohorts_per_run_monotonic.txt · Last modified: 2010/10/20 13:24 by lennartfr















