This is an old revision of the document!
Table of Contents
Model estimating only 3+ year olds
In this section we test a model which does not use data for 0-2 year olds, and does not estimate these age groups. It is equivalent to the simple model, with the catch and survey data shifted.
We perform the same experiment as for the model with two catchabilities, namely trying out different numbers of cohorts which are to be estimated at the same time.
Summary
Unlike for the experiments with the model with two catchabilities, the parameter estimates are in general inside their bounds. This means that the computed standard deviations are meaningful.
The estimates are sometimes smaller than the corresponding VPA estimates, and sometimes larger, unlike for the model with two catchabilities, where they were always larger.
There are some issues with stability, especially regarding the number of years we follow a cohort. Although not plotted below, for the experiment with a single cohort born in 1994, it makes a huge difference whether we follow it for 6 or 7 years.
As more cohorts are added the population sizes at age 3 become more stable, but not always at the levels estimated when only following a single cohort.
First cohort born 1994
NOTE Although the population variables are called N0, they represent the population level at age 3.
The run with two cohorts did not converge when the maximum age was set to 10, so is set to 9.
| Num. cohorts | Trajectories | Estimates |
|---|---|---|
| 1 | |
|
| 2 | |
|
| 3 | |
|
| 4 | |
|
First cohort born 1995
NOTE Although the population variables are called N0, they represent the population level at age 3.
| Num. cohorts | Trajectories | Estimates |
|---|---|---|
| 1 | |
|
| 2 | |
|
| 3 | |
|
| 4 | |
|
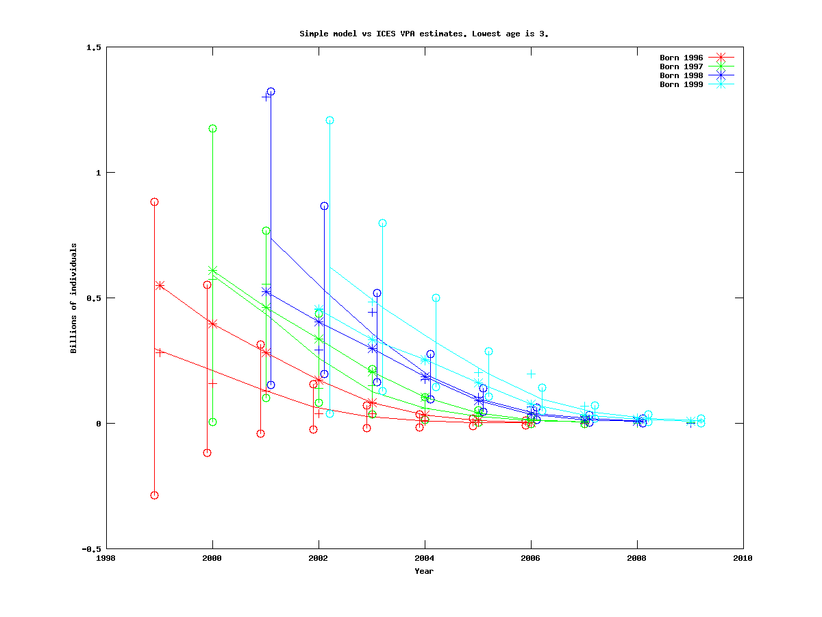
First cohort born 1996
NOTE Although the population variables are called N0, they represent the population level at age 3.
| Num. cohorts | Trajectories | Estimates |
|---|---|---|
| 1 | |
|
| 2 | |
|
| 3 | |
|
| 4 | |
|
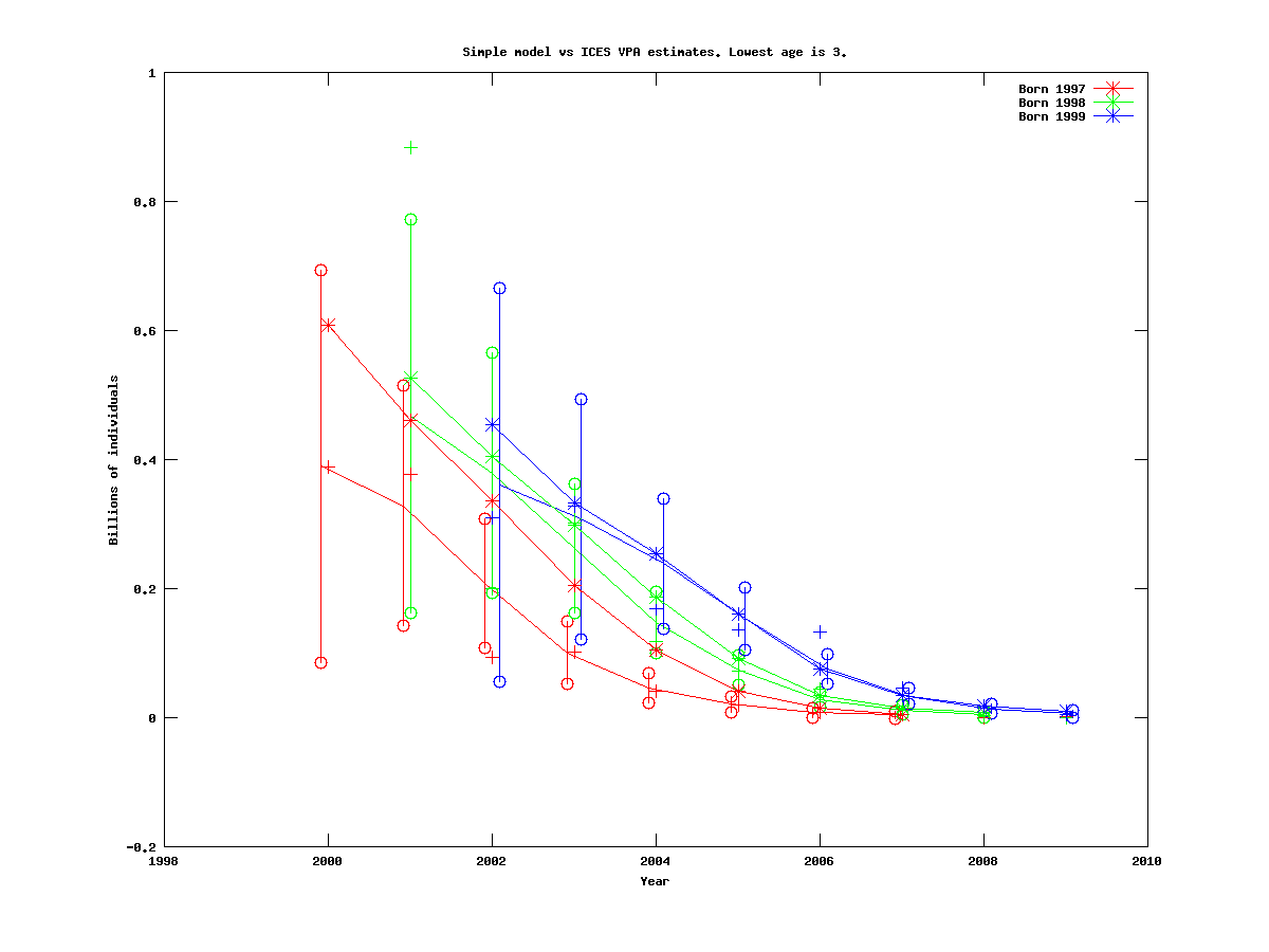
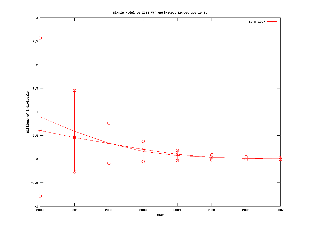
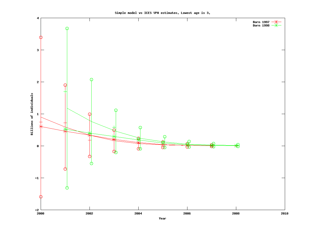
First cohort born 1997
NOTE Although the population variables are called N0, they represent the population level at age 3.
| Num. cohorts | Trajectories | Estimates |
|---|---|---|
| 1 | |
|
| 2 | |
|
| 3 | |
|
| 4 | |
|















